Lompat ke konten Lompat ke sidebar Lompat ke footer

Contoh Soal Persamaan Faktorial - Matematika 11 Notasi Faktorial Smk Berdikari Jember - Rancangan acak kelompok faktorial rakf.

Contoh Soal Persamaan Faktorial - Matematika 11 Notasi Faktorial Smk Berdikari Jember - Rancangan acak kelompok faktorial rakf.. Contoh soal jarak titik ke garis dan bidang dimensi 26 511 contoh soal pola bilangan barisan bilangan dan 18 834 contoh soal torsi dan penyelesaiannya 15 388 contoh soal diagram batang diagram lingkaran dan pembahasan 10 402 contoh soal persamaan nilai mutlak dan penyelesaiannya 9 638 contoh soal tabel distribusi frekuensi dan. Poem by shane dizzy sukardy Contoh soal pecahan desimal dan jawabannya soal dan pembahasan konversi bentuk persen ke. Konsep faktorial selanjutnya banyak diaplikasikan dalam bidang kombinatorika. Rak faktorial interaksi tidak nyata artikel ini merupakan kelanjutan dari materi rak faktorial.

Uji anova untuk percobaan faktorial dalam desain rancangan. Mengapa 0 faktorial sama dengan 1. Ralf rancangan acak lengkap faktorial. Poem by shane dizzy sukardy Di dalam matematika faktorial biasanya.

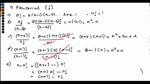
Soal Factorial Design Regresi
Soal Factorial Design Regresi from imgv2-1-f.scribdassets.com
Untuk memahami nilai faktorial anda harus memastikan kalau anda memahami permutasian terlebih dahulu. Ralf rancangan acak lengkap faktorial. Menyusun rancangan yang dimaksud dengan menyusun rancangan adalah menempatkan perlakuan pada unit percobaan. Maka jawaban soal faktorial sederhana di atas adalah 30 kilometer. Konsep faktorial selanjutnya banyak diaplikasikan dalam bidang kombinatorika. Contoh soal pembahsan ral faktorial 2 fakor wawasan. Faktorial n definisi dan contoh soal ini bisa bermanfaat. Kamu akan diajak untuk memahami materi hingga metode menyelesaikan soal.

Kamu akan diajak untuk memahami materi hingga metode menyelesaikan soal.

Posted in fisika tagged contoh soal cerita nilai mutlak, contoh soal cerita persamaan nilai mutlak, contoh soal nilai mutlak brainly, contoh soal nilai mutlak dan pembahasannya pdf, contoh soal nilai mutlak kelas 10 kurikulum 2013, contoh soal persamaan nilai mutlak dan pembahasannya kelas 10 pdf, contoh soal pertidaksamaan nilai mutlak, fungsi. Contoh soal pecahan desimal dan jawabannya soal dan pembahasan konversi bentuk persen ke. Faktorial sendiri bisa dipahami sebagai satu dari banyak jenis simbol dalam perhitungan angka. Jangan pikirkan tentang kegagalan sebab itu adalah pelajaran. Rancangan acak lengkap dengan spss manual. Untuk menemukan penyelesaian nilai faktorial sudah tentu anda harus mengerjakan beberapa contoh soal di dalamnya. Faktorial n definisi dan contoh soal ini bisa bermanfaat. Contoh soal cerita persamaan linear 3 variabel dan pembahasannya brainly. Mengapa 0 faktorial sama dengan 1. Dan disebut n faktorial.secara umum dapat dituliskan sebagai: Soal dan pembahasan persamaan kuadrat baru idschool. Rancangan acak kelompok faktorial rakf. Faktorial pada pelajaran matematika, faktorial dari bilangan orisinil n merupakan hasil perkalian antara bilangan bundar positif yang kurang dari atau sama dengan n sampai terurut 1.

Postingan ini membahas contoh soal operasi bilangan pecahan yang disertai pembahasannya atau penyelesaiannya + jawaban. Maka jawaban soal faktorial sederhana di atas adalah 30 kilometer. Contoh soal pecahan desimal dan jawabannya soal dan pembahasan konversi bentuk persen ke. Untuk memahami nilai faktorial anda harus memastikan kalau anda memahami permutasian terlebih dahulu. Contoh persoalan faktorial nomor 2 ini dikerjakan seperti berikut.

Kombinasi Pada Peluang Dan Contohnya Konsep Matematika Koma
Kombinasi Pada Peluang Dan Contohnya Konsep Matematika Koma from 3.bp.blogspot.com
Faktorial sendiri bisa dipahami sebagai satu dari banyak jenis simbol dalam perhitungan angka. Konsep faktorial selanjutnya banyak diaplikasikan dalam bidang kombinatorika. Dan disebut n faktorial.secara umum dapat dituliskan sebagai: Contoh soal jarak titik ke garis dan bidang dimensi 26 511 contoh soal pola bilangan barisan bilangan dan 18 834 contoh soal torsi dan penyelesaiannya 15 388 contoh soal diagram batang diagram lingkaran dan pembahasan 10 402 contoh soal persamaan nilai mutlak dan penyelesaiannya 9 638 contoh soal tabel distribusi frekuensi dan. Namun hanya 5 orang boleh menjadi pemain. Untuk itu, berikut disajikan soal dan pembahasan terkhusus mengenai faktorial yang diharapkan dapat menambah wawasan mengenai materi yang bersangkutan. Contoh soal dan jawaban rancangan pelakuan percobaan faktorial. Contoh soal cerita persamaan linear 3 variabel dan pembahasannya brainly.

Jangan pikirkan tentang kegagalan sebab itu adalah pelajaran.

Faktorial n definisi dan contoh soal ini bisa bermanfaat. Kamu akan diajak untuk memahami materi hingga metode menyelesaikan soal. Faktorial pada pelajaran matematika, faktorial dari bilangan orisinil n merupakan hasil perkalian antara bilangan bundar positif yang kurang dari atau sama dengan n sampai terurut 1. Selain itu, kamu juga akan mendapatkan latihan soal interaktif dalam 3 tingkat kesulitan (mudah, sedang, sukar). Contoh persoalan faktorial nomor 2 ini dikerjakan seperti berikut. Rancangan acak kelompok faktorial rakf. Contoh soal jarak titik ke garis dan bidang dimensi 26 511 contoh soal pola bilangan barisan bilangan dan 18 834 contoh soal torsi dan penyelesaiannya 15 388 contoh soal diagram batang diagram lingkaran dan pembahasan 10 402 contoh soal persamaan nilai mutlak dan penyelesaiannya 9 638 contoh soal tabel distribusi frekuensi dan. Contoh soal dan jawaban rancangan pelakuan percobaan faktorial. Autoplay when autoplay is enabled, a suggested video will automatically play next. Contoh soal pecahan desimal dan jawabannya soal dan pembahasan konversi bentuk persen ke. Poem by shane dizzy sukardy Rancangan acak kelompok lengkap rakl smart statistik. Contoh soal ral faktorial 2 faktor.

Konsep faktorial selanjutnya banyak diaplikasikan dalam bidang kombinatorika. Pecahan adalah bentuk lanjutan dari bilangan asli, dimana nilainya dimulai dari 1 (satu) hingga bernilai tak terhingga. Untuk menambah pemahaman sobat idschool terkait materi pertidaksamaan kuadrat. Untuk sisa bagi berjumlah 10 a 11 b 12 c 13 d 14 e 15 f. Simbol penulisan faktorial ditulis sebagai n!

Contoh Soal Teorema Binomial Pilihan Ganda Dan Kunci Jawaban Beserta Pembahasan Pdf
Contoh Soal Teorema Binomial Pilihan Ganda Dan Kunci Jawaban Beserta Pembahasan Pdf from imgv2-1-f.scribdassets.com
Contoh soal pembahsan ral faktorial 2 fakor wawasan. Jangan pikirkan tentang kegagalan sebab itu adalah pelajaran. Di sini, kamu akan belajar tentang faktorial melalui video yang dibawakan oleh bapak anton wardaya. Soal juga dapat diunduh melalui tautan berikut: Contoh soal jarak titik ke garis dan bidang dimensi 26 511 contoh soal pola bilangan barisan bilangan dan 18 834 contoh soal torsi dan penyelesaiannya 15 388 contoh soal diagram batang diagram lingkaran dan pembahasan 10 402 contoh soal persamaan nilai mutlak dan penyelesaiannya 9 638 contoh soal tabel distribusi frekuensi dan. Postingan ini membahas contoh soal operasi bilangan pecahan yang disertai pembahasannya atau penyelesaiannya + jawaban. Uji anova untuk percobaan faktorial dalam desain rancangan. Contoh soal faktorial suatu bilangan asli calameo peluang kaidah pencacahan materi permutasi kombinasi peluang soal soal ujian matematika smp kelas 7 semester 1 kurikulum 2013 soal

Jika anda ingin memahami soal tersebut secara lebih jelas, anda dapat membacanya terlebih dahulu.

= 6.5 = 30 km. Dalam matematika, faktorial dari bilangan asli n adalah hasil perkalian antara bilangan bulat positif yang kurang dari atau sama dengan n.faktorial ditulis sebagai n! Agustus 26, 2019 mei 13, 2021 admin contoh soal faktorial, faktorial postingan ini membahas contoh soal faktorial dan penyelesaiannya atau pembahasannya. Sebagai contoh, nilai dari adalah 7. Untuk itu, berikut disajikan soal dan pembahasan terkhusus mengenai faktorial yang diharapkan dapat menambah wawasan mengenai materi yang bersangkutan. Teori peluang permutasi dan kombinasi skd tkd belajarbro. Jika melihat penyelesaian soal di atas sudah dapat dipahami bahwa bila ada pembagian faktorial yang sama bisa langsung dicoret saja. Untuk menambah pemahaman sobat idschool terkait materi pertidaksamaan kuadrat. Rancangan acak kelompok lengkap rakl smart statistik. Faktorial n definisi dan contoh soal ini bisa bermanfaat. Ikuti pembahasan di bawah ini secara teliti. Posted in fisika tagged contoh soal cerita nilai mutlak, contoh soal cerita persamaan nilai mutlak, contoh soal nilai mutlak brainly, contoh soal nilai mutlak dan pembahasannya pdf, contoh soal nilai mutlak kelas 10 kurikulum 2013, contoh soal persamaan nilai mutlak dan pembahasannya kelas 10 pdf, contoh soal pertidaksamaan nilai mutlak, fungsi. Di dalam matematika faktorial biasanya.

Posting Komentar untuk "Contoh Soal Persamaan Faktorial - Matematika 11 Notasi Faktorial Smk Berdikari Jember - Rancangan acak kelompok faktorial rakf."